Jul 25, 2021
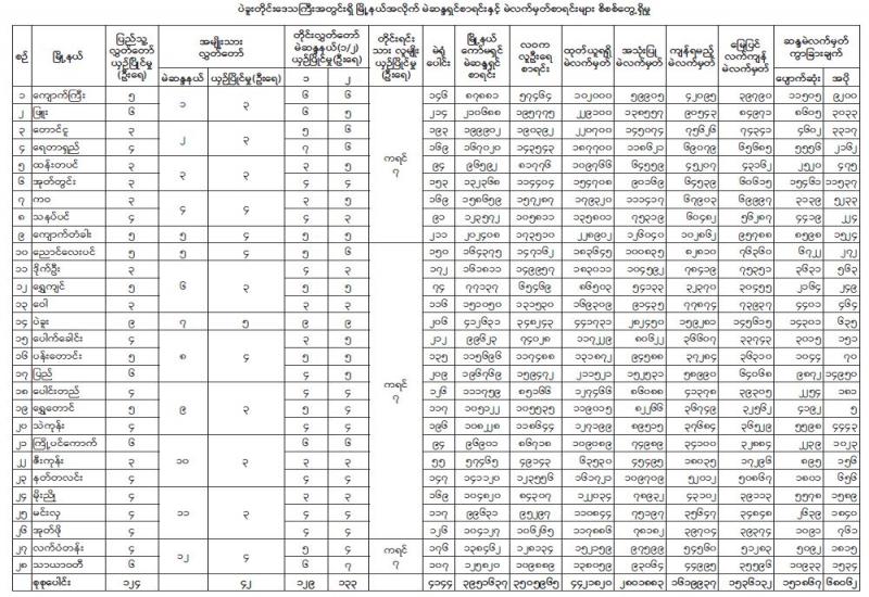
၁။ ပြည်ထောင်စုရွေးကောက်ပွဲကော်မရှင်သည် ၂၀၂၀ ပြည့်နှစ် နိုဝင်ဘာလ ၈ ရက်နေ့တွင် ကျင်းပပြုလုပ်သည့် ပါတီစုံဒီမိုကရေစီ အထွေထွေရွေးကောက်ပွဲနှင့်စပ်လျဉ်း၍ ပဲခူးတိုင်း ဒေသကြီး မြို့နယ် ၂၈ မြို့နယ်၊ မကွေးတိုင်းဒေသကြီး မြို့နယ် ၂၅ မြို့နယ်၊ ရှမ်းပြည်နယ် မြို့နယ် ၄၉ မြို့နယ်နှင့် ဧရာဝတီတိုင်း ဒေသကြီး မြို့နယ် ၂၆ မြို့နယ်တို့၏ မဲစာရင်းများကို တစ်မြို့နယ်ချင်းအလိုက် အသေးစိတ်စိစစ်ခဲ့ပြီး မြို့နယ်အသီးသီးရှိ မဲရုံတစ်ခုချင်းအလိုက် မဲပေးခဲ့မှုအခြေအနေများနှင့် ဆန္ဒမဲလက်မှတ်များကိုသက်ဆိုင်ရာ လွှတ်တော်ရွေးကောက်ပွဲ ဥပဒေ ပုဒ်မ ၅၃ အရ ပြည်ထောင်စုရွေးကောက်ပွဲ ကော်မရှင်အဖွဲ့ဝင်များ၊ သက်ဆိုင်ရာ မြို့နယ်အလိုက် ယခင်ရွေးကောက်ပွဲကော်မရှင်အဖွဲ့ခွဲများ၊ မြို့နယ်ရဲတပ်ဖွဲ့မှူး၊ မြို့နယ် လူဝင်မှုကြီးကြပ်ရေးနှင့် ပြည်သူ့အင်အားဦးစီးဌာနဦးစီးမှူး၊ မြို့နယ်အုပ်ချုပ်ရေးမှူးများ၊ သက်ဆိုင်ရာ နိုင်ငံရေးပါတီများမှ ကိုယ်စားလှယ်များနှင့် အတူမြေပြင်ဖွင့်ဖောက်စစ်ဆေး ဆောင်ရွက်ခဲ့ပြီး ရွေးကောက်ပွဲ ကော်မရှင်အဖွဲ့ခွဲများ၊ မဲရုံမှူး/ မဲရုံ အဖွဲ့ ဝင်များနှင့်လည်း တွေ့ဆုံမေးမြန်းခဲ့ပါသည်။
Jul 25, 2021
(၂၀၂၁ ခုနှစ်၊ ဇူလိုင်လ (၂၅)ရက်နေ့ နံနက်(၇:၀၀)နာရီအချိန် ထုတ်ပြန်ချက်)
Jul 25, 2021
ကိုဗစ်-၁၉ ရောဂါအတည်ပြု လူနာများနှင့် သီးသန့်စောင့်ကြည့်ရမည့် သူများထားရှိရန်အတွက် တိုင်းစစ်ဌာနချုပ် နယ်မြေအသီးသီးရှိ တပ်မတော်ဆေးရုံ များ၊ နယ်မြေခံသင်တန်းကျောင်းများ၊ စစ်ကြောရေးနှင့် တည်းခိုရေးစခန်းများ၌ ကြိုတင်ပြင်ဆင်မှုများကို လုပ်ဆောင်လျက်ရှိပြီး ပြီးစီးသည့်နေရာများတွင် စနစ်တကျလက်ခံ၍ ကျန်းမာရေးစောင့်ရှောက်မှုလုပ်ငန်းများ ဆောင်ရွက်ပေးလျက်ရှိသည်။ ထို့ပြင် ကျန်းမာရေးနှင့် အားကစားဝန်ကြီးဌာနနှင့် အခြားဌာန ဆိုင်ရာ တာဝန်ရှိသူများ၊ ပရဟိတအဖွဲ့အစည်းများ၊ တာဝန်သိပြည်သူများနှင့် ပူးပေါင်း ၍လည်း သက်ဆိုင်ရာမြို့နယ်များ၌ Quarantine Center များကိုလည်း ပြင်ဆင် ဆောင်ရွက်လျက် ရှိသည်။
Jul 25, 2021
မြန်မာနိုင်ငံမှ ဆောင်ရွက်လျက်ရှိသည့် ကိုဗစ်-၁၉ ရောဂါ ကာကွယ်၊ ထိန်းချုပ်၊ ကုသရေးဆိုင်ရာ အစီအမံများတွင် အသုံးပြုနိုင်ရန် ရည်ရွယ်လျက် Oxygen Concentrators အလုံး(၅၀)ကို အိန္ဒိယနိုင်ငံမှ Khalsa Aid India ဆစ်ခ် လူမှုအဖွဲ့ အစည်း က ဇူလိုင် ၂၀ ရက်တွင် အိန္ဒိယနိုင်ငံရှိ မြန်မာသံရုံးသို့ လာရောက်လှူဒါန်းခဲ့ပြီး မြန်မာသံအမတ်ကြီးက လက်ခံခဲ့သည်။
Jul 25, 2021
ဧရာဝတီတိုင်းဒေသကြီးအတွင်း ကိုဗစ်-၁၉ ထိန်းချုပ်ရေး အရေးပေါ်တုံ့ပြန်ရေးကော်မတီ အစည်းအဝေးကို ယနေ့နေ့လယ်ပိုင်းတွင် ဧရာဝတီတိုင်းဒေသကြီး စီမံအုပ်ချုပ်ရေးကောင်စီရုံး အစည်းအဝေးခန်းမ(၁)၌ပြုလုပ်ရာ တိုင်းဒေသကြီးစီမံ အုပ်ချုပ်ရေးကောင်စီဥက္ကဋ္ဌ ဦးရဲမြင့်၊ အနောက်တောင်တိုင်း စစ်ဌာနချုပ်တိုင်းမှူး ဗိုလ်ချုပ် အောင်အောင်နှင့် အဖွဲ့ဝင်များ၊ တိုင်းဒေသကြီး ပြည်သူ့ကျန်းမာရေး ဦးစီးဌာနမှူး ဒေါက်တာ ဇော်မင်းထွန်း၊ စီမံအုပ်ချုပ်ရေး ကောင်စီအဖွဲ့ဝင်များနှင့် ဖိတ်ကြားထားသူများ တက်ရောက်ကြသည်။
Jul 25, 2021
လက်ရှိအချိန်တွင် ကိုဗစ်-၁၉ ရောဂါ တတိယလှိုင်းဖြစ်ပွားမှု မြင့်တက်လျက်ရှိပြီး ဓာတ်ခွဲ အတည်ပြုပိုးတွေ့လူနာများနှင့် သီးသန့်စောင့်ကြည့်ရမည့်သူများကို တပ်မတော်ဆေးရုံများ၊ ပြည်သူ့ဆေးရုံများ၊ ကျန်းမာရေးဌာနများနှင့် ကိုဗစ်စင်တာ များတွင် ကျန်းမာရေးစောင့်ရှောက်မှု လုပ်ငန်းများကို တပ်မတော်သား ဆရာဝန်များ၊ ကျန်းမာရေးဝန်ထမ်းများ၊ လူမှုရေးအသင်း အဖွဲ့များ ပူးပေါင်း၍ အင်တိုက်အားတိုက် ဆောင်ရွက်ပေးလျက်ရှိရာ ယင်းလုပ်ငန်းများ တွင် အထောက်အကူဖြစ်စေရန်အတွက် ကာကွယ်၊ ထိန်းချုပ်၊ ကုသရေးပစ္စည်းများ၊ အောက်ဆီဂျင်အိုးများနှင့် အာဟာရ ဖြည့်စားသောက်ဖွယ်ရာများကို တပ်မတော်က သွားရောက် ထောက်ပံ့လှူဒါန်းပေး လျက်ရှိသည်။
Jul 25, 2021
ရခိုင်ပြည်နယ်အဆင့် ကိုဗစ်-၁၉ ရောဂါထိန်းချုပ်ရေးနှင့် အရေးပေါ် တုံ့ပြန်ရေးကော်မတီ လုပ်ငန်း ညှိနှိုင်းအစည်းအဝေး အမှတ်စဉ် (၈/၂၀၂၁)ကို ယနေ့ နံနက်ပိုင်းတွင် စစ်တွေမြို့ရှိ ပြည်နယ်စီမံ အုပ်ချုပ်ရေးကောင်စီရုံး အစည်းအဝေးခန်းမ၌ ပြုလုပ်ရာ ပြည်နယ် စီမံအုပ်ချုပ်ရေးကောင်စီဥက္ကဋ္ဌ ဒေါက်တာ အောင်ကျော်မင်း၊ အနောက်ပိုင်းတိုင်း စစ်ဌာနချုပ် တိုင်းမှူး ဗိုလ်ချုပ် ထင်လတ်ဦး၊ ပြည်နယ်စီမံအုပ်ချုပ်ရေးကောင်စီဝင်များ၊ ကျန်းမာရေးနှင့် အားကစား ဝန်ကြီးဌာနမှ တာဝန်ရှိသူများ၊ ဌာနဆိုင်ရာများနှင့် လူမှုရေး အသင်းအဖွဲ့များမှ တာဝန်ရှိသူများ တက်ရောက်ကြသည်။
Jul 25, 2021
ရန်ကုန်မြို့တော် စည်ပင်သာယာရေးကော်မတီဥက္ကဋ္ဌ မြို့တော်ဝန်ဦးဗိုလ်ဌေးသည် ယနေ့နံနက် ၉ နာရီခွဲတွင် မရမ်းကုန်းမြို့နယ် မြန်မာကွန်ဗင်းရှင်းစင်တာ(MCC) ခန်းမယာဉ်ရပ်နား ရေးကွင်း၌ ကိုဗစ်-၁၉ ရောဂါ သံသယလူနာများထားရှိရန် အဆောင်သစ်ဆောက်လုပ်နေမှုကို သွားရောက်ကြည့်ရှုစစ်ဆေးရာ ရှိုင်းဆောက်လုပ်ရေးကုမ္ပဏီ တာဝန်ရှိသူက အဆောင် သစ်ဆောက်လုပ်နေမှုကို ရှင်းလင်းတင်ပြပြီး မြို့တော်ဝန်က လိုအပ်သည်များ မှာကြား ဖြည့်ဆည်း ဆောင်ရွက်ပေးသည်။
Jul 25, 2021
နိုင်ငံတော်စီမံအုပ်ချုပ်ရေးကောင်စီသည် ၂၀၂၁ ခုနှစ် ဇူလိုင် ၂၀ ရက်တွင် (ကြားနာစစ်ဆေးဆဲ ပြစ်မှုဆိုင်ရာ အမှုများ ပိတ်သိမ်းခြင်း) အတွက် အမိန့်အမှတ် (၁၄၇/၂၀၂၁)ကို ထုတ်ပြန်ခဲ့ရာ အမိန့်ပါ စာပိုဒ်(၂)တွင် ပါရှိသည့် အကျုံးဝင်သော အမှုအမျိုးအစားများအား (တရားရုံး စစ်ဆေးဆဲအမှုများ စိစစ်ဆေးရေးအဖွဲ့) ဖွဲ့စည်း၍ စနစ်တကျ အသေးစိတ်ကြီးကြပ် စစ်ဆေးခဲ့သည်။
Jul 25, 2021
နေပြည်တော် ပုဗ္ဗသီရိမြို့နယ် တပင်ရွှေထီးရပ်ကွက်ရှိ ခုတင် ၃၀၀ ဆေးရုံတွင် အောက်ဆီဂျင် အရည် တန် ၂၀ ဆံ့ စက်ရုံတည်ဆောက်မှု ဇူလိုင်နောက်ဆုံး ပတ်တွင် ပြီးစီးမည်ဖြစ်ကြောင်း နေပြည်တော် ကောင်စီမှ သိရသည်။
Jul 25, 2021
တရုတ်နိုင်ငံအစိုးရမှ လှူဒါန်းသည့် ကိုဗစ်- ၁၉ ကာကွယ်ဆေး နှစ်သန်းအနက် တတိယအသုတ် Sinopharm ကာကွယ်ဆေး ၇၃၆၀၀၀ နှင့် ဆေးထိုးအပ် ၈၄၈၀၀၀ တို့ တင်ဆောင်လာသော Air China လေယာဉ်သည်ယနေ့ညပိုင်းတွင် ရန်ကုန်အပြည်ပြည် ဆိုင်ရာလေဆိပ်သို့ ရောက်ရှိလာသည်။
Jul 25, 2021
လက်ရှိအချိန်အခါတွင် ကိုဗစ်-၁၉ ကပ်ရောဂါဖြစ်ပွားမှုကြောင့် ကမ္ဘာပေါ်ရှိပြည်သူများ စိုးရိမ်သောက ရောက်နေကြသည်။ ချမ်းသာကြွယ်ဝ ဖွံ့ဖြိုးသောနိုင်ငံများအဖို့ ကပ်ရောဂါကို ရင်ဆိုင်နိုင်စွမ်းရှိကြသော်လည်း ဖွံ့ဖြိုးဆဲနိုင်ငံများ၊ မဖွံ့ဖြိုးသောနိုင်ငံများတွင် ကပ်ရောဂါကို အလူးအလဲရင်ဆိုင်တွေ့ကြုံရုန်းကန်နေရသည်။ ထိုနိုင်ငံများတွင် မြန်မာနိုင်ငံလည်းပါဝင်ပြီး ကပ်ရောဂါဆိုးကို ပြည်သူများရော အစိုးရကပါ ရုန်းကန်လှုပ်ရှားရင်ဆိုင်နေကြသည်။
Jul 25, 2021
ကြိုတင်ပြင်ဆင်ခြင်းဖြင့် ကာကွယ်ဆိုးရွားပြင်းထန်သည့် ရာသီဥတုဖြစ်စဉ်များကြောင့် ကမ္ဘာ့နိုင်ငံအချို့တွင် သဘာဝဘေးအန္တရာယ်များ ကျရောက်နေသည်ကို နိုင်ငံတကာ သတင်းများတွင် တွေ့မြင်ရသည်။ တရုတ်နှင့် အိန္ဒိယအပါအဝင် မြန်မာနိုင်ငံ၏ အိမ်နီးချင်း နိုင်ငံများသာမက ဖြစ်တောင့်ဖြစ်ခဲ့ ဥရောပနိုင်ငံအချို့တွင်ပါ ရေကြီးမြေပြိုမှုသဘာဝဘေးများ ကျရောက်ခဲ့ပြီး ပုံမှန်မဟုတ်သော ရာသီဥတုဖောက်ပြန်မှု သတင်းများကို တွေ့မြင်ကြားသိ ရခြင်းဖြစ်သည်။
Jul 24, 2021
ရန်ကုန်မြို့ပေါ်တွင် ပြည်သူလူထုအခြေပြု ကိုဗစ်-၁၉ ရောဂါရှာဖွေရေး/ကုသရေးဌာနများ တိုးချဲ့ဖွင့်လှစ်နိုင်ရေး ညှိနှိုင်းအစည်းအဝေး (Zoom Meeting) ကို ယနေ့ နံနက် ၁၀ နာရီတွင် ကျန်းမာ ရေးနှင့်အားကစားဝန်ကြီးဌာန COVID-19 Command Center ၌ ကျင်းပသည်။
Jul 24, 2021
နိုင်ငံတော်အတွင်း ကိုဗစ်-၁၉ ကာကွယ်၊ ထိန်းချုပ်၊ ကုသရေးလုပ်ငန်းများအတွက် အရေး တကြီးလိုအပ်လျက်ရှိသည့် အောက်စီဂျင်အရည်၊ အောက်ဆီဂျင်ဓာတ်ငွေ့၊ အိမ်သုံး အောက်ဆီဂျင်စက်နှင့် ဆေးဝါးနှင့်ဆက်စပ်ပစ္စည်းများ ပြတ်လပ်မှုမရှိစေရန် အများပြည်သူ ရုံးပိတ်ရက်များအဖြစ် သတ်မှတ်ကြေညာထားသည့် ဇူလိုင် ၂၆ ရက်မှ သြဂုတ် ၁ ရက်အထိ ရုံးပိတ်ရက်များတွင်လည်း နယ်စပ်ကုန်သွယ်ရေး စခန်းများအနေဖြင့် အလုပ်တာဝန်များ ရပ်ဆိုင်းထားမည်မဟုတ်ဘဲ ပုံမှန်အတိုင်း ပို့ကုန်သွင်းကုန်လုပ်ငန်းများ ဆောင်ရွက်ပေးသွား မည်ဖြစ်ကြောင်းသိရသည်။
Jul 24, 2021
ပြည်သူလူထုအတွက် လိုအပ်လျက်ရှိသော ဆေးဝါးများ ဈေးကွက်အတွင်း မပြတ်လပ်စေ ရေးနှင့် ဆေးဝါးများ တင်သွင်းရာတွင် လွယ်ကူချောမွေ့စေရေး ညှိနှိုင်းအစည်းအဝေးကို ယနေ့ မွန်းလွဲ ၁ နာရီတွင် စီးပွားရေးနှင့်ကူးသန်းရောင်း ဝယ်ရေးဝန်ကြီးဌာန၊ ဝန်ကြီးရုံး အစည်းအဝေး ခန်းမ၌ ကျန်းမာရေးနှင့် အားကစားဝန်ကြီးဌာနမှ ထုတ်ပြန်ထားသည့် ကိုဗစ်-၁၉ ရောဂါ ကာကွယ်ရေး လမ်းညွှန်ချက်များနှင့်အညီ Online Meeting စနစ်ဖြင့် ကျင်းပသည်။
Jul 24, 2021
(၂၀၂၁ ခုနှစ်၊ ဇူလိုင်လ (၂၄)ရက်နေ့ ည(၇:၀၀)နာရီအချိန် ထုတ်ပြန်ချက်)
